invert binary tree iterative
From queue import Queue. Trees require an investment and Trees New York exists to make that investment.
Flip Binary Tree Geeksforgeeks
For performing queue operations the queue module is imported as follows.
. The code is almost similar to the level order traversal of a binary tree. Invert Binary Tree using Level Order Traversal. Iterative approach using queue.
Method 1 Recursive Algorithm. The key insight here is to realize that in order to invert a binary tree we only need to swap the. Using Level order traversal.
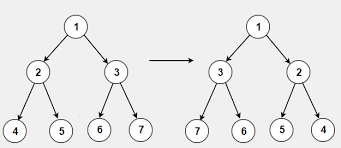
Root 4271369 Output. A free inside look at company reviews and salaries posted anonymously by employees. In simple words Output is the mirror of the input tree.
Here are the steps. To invert the tree. If root current node is NULL.
Just like the above approach we can solve this problem using level order traversal. New York NY 10018. Steps to invert a Binary Tree iteratively using Queue.
How to convert a Binary Tree into its Mirror Tree. Given the root of a binary tree invert the tree and return its root. Preorder is a pretty simple and readable solution.
9 Binary Tree reviews in New York City NY. 1350 Broadway Ste 912. The program requires oh extra space for the call stack where h is the height of the tree.
Invert binary tree solution using Java Code. Computer Hardware Supplies Computer Software Services. Invert Binary Tree using Recursion.
Invert a binary tree. Get the Invert Setlist of the concert at Irving Plaza New York NY USA on January 12 2002 and other Invert Setlists for free on setlistfm. YEARS IN BUSINESS 212 244-3635.
Your contributions have helped make Trees New York the leading tree stewardship and advocacy. Root 213 Output. Given the following binary tree invert it from the specified node.
We can ask ourselves which tree traversal would be best to invert the binary tree. 3 Inverting a Binary Tree Using Iterative Level Order Traversal. Our solution would be recursive.
Inverting A Binary Tree Interview Prep
Invert Reverse A Binary Tree 3 Methods
Iterative Binary Search Python Code Example Mobile Legends
Invert A Binary Tree Interview Problem
Aman S Ai Journal Distilled Leetcode Dfs
Trees Graphs Flashcards Quizlet
Solved Inverting A Binary Tree Write A Method Called Chegg Com
How To Balance A Binary Search Tree Using Recursive Inorder Traversal Algorithm Algorithms Blockchain And Cloud
Invert Given Binary Tree Techie Delight
Invert A Binary Tree Recursive And Iterative Solutions Learnersbucket
Reverse Tree Path Geeksforgeeks
Iterative Traversals For Binary Trees Hackerearth
Invert Alternate Levels Of A Perfect Binary Tree Techie Delight
Invert Reverse A Binary Tree 3 Methods
Reverse Tree Path Geeksforgeeks
Inverting Binary Tree Inverting Binary Tree One Of The Very By Roman Kyslyi Phd Medium


